近來小編常聽很多朋友說:把家里的網絡升級到了200M的光纖,但用了一段時間才發現,似乎網絡速度好像沒有那么快,跟以前沒啥區別,這到底是為什么呢?你一定要關注以下幾個小問題,才能真正享用到200M光纖的高速帶寬。
200M光纖的光線入戶,怎樣才能順利玩得溜呢?我們看下面這圖,一般的家用網絡都是按這種結構鏈接的,一根從運營商進來的光纖網絡,經過光纖貓,而后接入電視,或者接入一個性能更好支持200M以上的WIFI路由器,最終到達互聯網設備,如:存儲NAS、臺式機、筆記本、平板電腦、手機等。

既然是光纖入戶,那么我們如何更好地使用它?如果接入的帶寬速度是200M,那么就要選擇支持最低200M輸入的設備。然而像路由器、電腦等設備所支持的速度多是按照10M、100M、1000M……來發展的,如果我們的設備僅支持100M,那么就浪費了200M一半的寬帶資源。所以就需要選擇1000M接入的路由器,才能使用上200M的帶寬,并且所有的其它設備都必須支持相應的帶寬,例如,NAS就需要千兆網卡的支持接入到家庭局域中。
1. 網絡速率
我們在使用各大運營商所提供的寬帶資源時,一般的聯網下載速度大概20+M甚至更低,可是在線測試的網速卻都能達到200M左右,這是怎么回事?
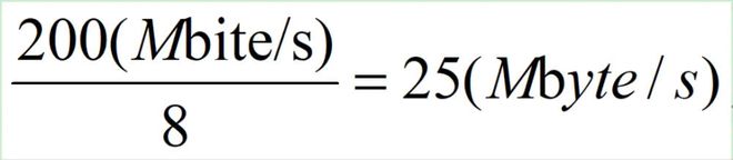
這實際上是由計算單位的不同而引起的“誤會”。在表示網絡速度時,有兩個單位:bite/s和byte/s,即字節每秒和字每秒。就單位換算而言,1個字符等于8個字節,即1byte/s=8bite/s。我們看到的下載速度用的就是byte/s(字每秒)這個單位,也就是200M的帶寬在滿打滿算的情況下看到的下載速度是25M,而考慮到損耗等因素,速度達到20M出頭的話這速度可算是滿分了。

2. 硬件要求
網絡帶寬帶來高速的同時,也對硬件提出了更高的要求,如光貓肯定得是千兆的,路由器的Wan口和Lan口都必須得是千兆了,電腦上的網口也得是千兆的,還有很容易被忽視的網線至少得是五類或以上(8條線芯都要按規則接上,不能使用縮水的網線,不然會損失很多網絡資源)。民用路由器一般都自帶WIFI功能,且都支持2.4G雙頻無線發射,筆記本、平板電腦、手機高速上網都沒有問題。
臺式機電腦上我們一般都是直接使用了主板自帶的網卡,但是有很多的主板自帶的網口都是百兆的或是性能一般的網卡,這時候就需要考慮給電腦另增加一塊高性能的千兆網卡了!
目前市場上臺式電腦的主板也都集成了千兆網卡,但集成網卡與獨立網卡的最大區別在于是否占有主機CPU的資源。獨立網卡可以完全釋放CPU資源,使CPU節省出更多的資源,提高其他應用軟件的實效。
3. 光潤通千兆網卡
光小編本次介紹的一款光潤通F901E是一款臺式機專用的千兆光纖網卡,采用Intel I210芯片,能夠兼容所有的PCIE-E插槽,具有1個LC光纖接口,可支持1000Mbps的傳輸帶寬,能兼容全雙工和半雙工,支持大多數操作系統等,保證了網卡高效、穩定的工作,能夠兼容市場上大部分品牌的臺式機,兼容性強,是很多光纖入戶項目的選擇。
近年來,絕大多數的家用電腦和辦公電腦網絡都需要升級更新換代了,眾多老舊辦公電腦經過升級都可繼續發揮余熱,為企業也能節省辦公投資成本,實際用起來也會有意想不到的效果。